
无芯感大香蕉手机在线视频熔炼炉电流频率的选择,旨在获得较低的投资成本和运行的经济性。当功率功率相等时,随着电流频率的增加,投资成本也随之增加。当两个电流频率均可用时,选择较低的电流频率,可一次节约投资费用。在大香蕉手机在线视频熔化炉中,功率设备的效率和大香蕉手机在线视频熔化炉的效率是设备运行经济性的指标。功率效率是指变压器、调节器、晶闸管变频器等设备的效率。异步熔化炉的效率由热效率和电气效率决定,而与电流频率无关。

一炉料系统的电效率随电流频率的增大而提高。因为熔化炉和大香蕉手机在线视频加热炉不同,不存在径向温差限制,因此其电流频率可以达到较高,一般取值。
![]()
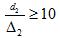
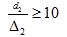
该系统的电能效率基本上达到峰值。从

输出电流频率下限为:

目前,由制造商提供的工频电感熔炼炉的容量为0.75t、1.5t、3t、5t和10t等。本产品是一种中频无心大香蕉手机在线视频熔炼炉,它的电流频率为1000Hz,容量150Kg,250Kg,500Kg,配以100KW、160KW、250KW、500KW。
如今,海瑞拓是生产小型中频大香蕉手机在线视频熔炼炉,可熔炼1KG-400KG金属,也可根据您的需要非标定制。
|联系海瑞拓
第一时间了解香蕉视频一区二区的新产品发布和最新的资讯文章。
广东海瑞拓自动化有限公司是一家专注于高端工业装备研发、制造与销售的高新技术企业。公司扎根于制造业底蕴深厚的广东省,致力于为全球金属加工及制造业客户提供高效、精密、可靠的热处理自动化解决方案。公司拥有强... 您有什么问题或要求吗?
点击下面,香蕉视频一区二区很乐意提供帮助。 联系海瑞拓